3c資訊 2020 年 9 月 29 日 by admin · Published 2020 年 9 月 29 日 C/C++語言的學習方向 這個世界上有太多的坑,如果我們不具備查閱資料的能力和對現實世界的思考...
3c資訊 2020 年 9 月 29 日 by admin · Published 2020 年 9 月 29 日 SSH免密登錄詳解 SSH免密登錄詳解 SSH(Security Shell)安全外殼協...
3c資訊 2020 年 9 月 28 日 by admin · Published 2020 年 9 月 28 日 007.OpenShift管理應用部署 一 REPLICATION CONTROLLERS 1.1 RC概述...
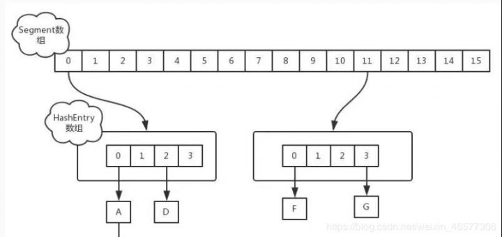
3c資訊 2020 年 9 月 28 日 by admin · Published 2020 年 9 月 28 日 阿裏面試官最喜歡問的21個HashMap面試題 1.HashMap 的數據結構? A:哈希表結構(鏈表散列:數組+鏈...
3c資訊 2020 年 9 月 28 日 by admin · Published 2020 年 9 月 28 日 Typescript的interface、class和abstract class interface,class,和abstract class這3個...
3c資訊 2020 年 9 月 28 日 by admin · Published 2020 年 9 月 28 日 程序員的命名素養 引言 今天來聊聊命名相關內容。 在日常工作中,項目、類、方法、表等等...
3c資訊 2020 年 9 月 26 日 by admin · Published 2020 年 9 月 26 日 走出舒適圈的信念和勇氣——“Learning by doing!” 我的軟工2020春季教學總結 看着大家陸續提交個人學期總...
3c資訊 2020 年 9 月 26 日 by admin · Published 2020 年 9 月 26 日 Web前端兼容性指南 一、Web前端兼容性問題 一直以來,Web前端領域最大的問題就是兼容...
3c資訊 2020 年 9 月 26 日 by admin · Published 2020 年 9 月 26 日 EM(最大期望)算法推導、GMM的應用與代碼實現 EM算法是一種迭代算法,用於含有隱變量的概率模型參數的極大似然估...
3c資訊 2020 年 9 月 26 日 by admin · Published 2020 年 9 月 26 日 重識Java8函數式編程 前言 最近真的是太忙忙忙忙忙了,很久沒有更新文章了。最近工作中看到了...